
|
Photo:
|
|
|
Characteristics:
|
|
Habitat:
|

|
Parts Used:
|
|
Collection and Harvesting:
|
|
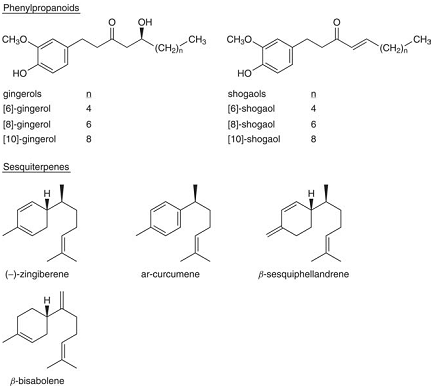
Constituents:
|
|
Actions:
|
|
Indications:
|
|
Combinations:
|
|
Preparation and Dosage:
|
|
Contraindications:
|
|
Drug Interactions:
|

|
History and Origin:
|
|
Ethnobotany:
|
|
Growing Information:
|
|
Personal Impressions and Experiences: |
|
Historical Botanical Illustrations:
|
1896 color plate from Köhler's Medicinal Plants |